2022年9月14日,伟德国际1946源于英国朱书生教授团队在环境科学和生态学著名期刊Agriculture,
Ecosystems and Environment(IF=6.576)在线发表了题为“Soil
Acidification Caused by Excessive Application of Nitrogen Fertilizer Aggravates
Soil-borne Diseases: Evidence from Literature Review and Field Trials”的研究论文。

第一作者:张义杰伟德国际1946源于英国博士叶辰伟德国际1946源于英国博士
通讯作者:朱书生伟德国际1946源于英国教授
通讯作者单位:省部共建云南生物资源保护与利用国家重点实验室;农业生物多样性应用技术国家工程研究中心;农业生物多样性与病虫害控制教育部重点实验室。
摘要
现代高投入集约种植制度通常建立在化肥农药大量施用往往会导致土壤环境恶化,而土壤环境恶化是土传病原物积累的主要驱动因素之一。但是土壤化学性质复杂多变,必须澄清驱动土传病原物积累的主要因素。因此本文基于文献报道采用meta分析和田间试验的方法确定影响土传病害的关键土壤化学因素。结果表明,氮肥过量施用导致土壤pH值的降低是加剧土传病害的关键土壤化学因素。在复杂的土壤化学因素中,过量施用氮肥导致的土壤碱解氮(AN)增加以及酚酸的积累是土壤pH值降低的主要原因。利用对氮敏感且土传病害发生严重的三七进行田间验证试验验证了氮肥过量施用降低土壤pH值加重土传病害的因素。研究也探索了利用外源施用生石灰(600–1200 kg hm-2)、钙镁磷肥(600-1200 kg hm-2)和有机肥料(1050-1500 kg hm-2)改良酸性土壤,能有效提高土壤pH值,缓解土传病害。
结果与讨论
1.土壤酸化加剧土传病害的发生
试验通过对25项筛选研究(SL)和5项田间调查(FI)中提取的数据进行meta分析,结果表明土壤pH(Overall)与土传病害的发生呈现显著的负相关(lnRR = -0.34,p< 0.001;图1A)。在酸性和碱性土壤中,pH值的降低都会加剧病害的发生(lnRR
= -0.34,p< 0.001; lnRR = -0.54,p< 0.001;图1A)。过量的有机质(≥ 30 g kg-1)和AN (≤60 mg kg-1; ≥ 150 mg kg-1)会显著加剧病害的发生(lnRR = 0.26,p< 0.001;
lnRR = 0.41,p< 0.001; lnRR =
0.25,p< 0.001;图1B和C)。但是,适量的有机质(10–20 g kg-1)和增加土壤钾含量能显著降低病害的发生(lnRR = -0.97,p< 0.001; lnRR = -0.72,p<
0.001;图1B和E)。酚类物质的积累会加剧土传病害的发生,尤其是在酸性土壤中(lnRR = 0.49,p< 0.001;图1F)。相关研究表明土壤酸化可降低土壤中磷的有效性,加剧钾的流失,导致土壤养分失衡和植物生长不良,引起土壤微生态系统失衡和土传病原菌富集,从而加剧了土传病害的发生。因此,土壤酸化直接影响植物生长、微生物多样性和土壤生态系统,导致土壤微生态系统失衡,最终导致土壤中土传病原菌富集。

图1土壤pH(A)、OM(B)、AN(C)、AP(D)、AK(E)和酚类物质(F)对土传病害发生的影响。AN、AP、AK、OM、FI和SL分别代表碱解氮、有效磷、速效钾、有机质、田间调查和选定文献。括号中的数字表示用于meta分析的观察数。误差条代表95%的置信区间。虚线表示效果值=0。效应值大于0和小于0分别表明化学因素可加剧和抑制病害的发生。
2.氮肥过量施用引起土壤酸化
为了探究土壤酸化的原因,我们将土壤pH值与其他化学因子进行关联分析。结果表明,土壤化学性质,包括土壤AN、AP、OM和酚类,均会影响土壤的pH值(图2),尤其是土壤AN与pH值显著负相关(r< -0.45p< 0.01;图2A)。这说明在集约化作物生产系统中,氮肥的过量使用是引起土壤酸化的一个主要原因。

图2土壤pH值与AN(A)、AP(B)、AK(C)、OM(D)和酚类(E)之间的线性关系。AN、AP、AK、OM、FI和SL分别代表碱解氮、有效磷、速效钾、有机质、田间调查和选定文献。
3.植物对氮的敏感性影响土传病害的发生
此外,我们根据植物分类的不同进行亚组分析,结果发现,随着土壤AN含量的增加和土壤pH值的降低,五加科植物土传病害的发生(lnRR = 0.23,p< 0.01; lnRR
= -0.31,p< 0.01;图3A和B)比禾本科、茄科和葫芦科更敏感。许多研究表明,不同植物由于遗传特征的不同对养分吸收、养分利用和土壤物理化学具有不同的适应性。目前农业生产中使用的禾本科、茄科和葫芦科的种子经过遗传改良,对氮肥具有较强的耐受能力和抗病性,能够适应现代高投入密集种植系统。而五加科作物都是从野生资源中驯化出来的,在氮肥高利用率和非生物和生物抗性方面缺乏深入的遗传改良,过量补充氮容易导致植物富营养化,降低植物抗病性(Wei et al., 2018)。例如,过量施用氮肥改变了三七中初级代谢产物和次级代谢产物的平衡,从而减少了根系防御性次级代谢产物分泌,改变了根际微生物群落,改善了土传疾病的发生(Wei et al., 2020)。

图3土壤AN(A)、pH(B)、AP(C)、AK(D)和OM(E)对五加科、禾本科、茄科和葫芦科土传病害发生的影响。AN、AP、AK和OM分别代表碱解氮、有效磷、速效钾和有机质。
4.土壤改良缓解土传病害的发生
土壤改良措施包括生石灰、钙镁磷肥和有机肥都可显著提高土壤AN、AP、AK和OM的含量(图4 A)。有机肥能显著提高酸性土壤的pH值,降低碱性土壤的pH值;生石灰可以显著提高酸性土壤的pH值(图4B)。此外,生石灰、钙镁磷肥和有机肥综合施用可以有效控制土传病害的发生(lnRR =
-6.15p< 0.01; lnRR = -6.08,p< 0.01; lnRR= -6.05p< 0.01;图4C)。土壤改良对茄科(lnRR = -6.14p< 0.01)和菊科(lnRR = -8.70p< 0.01)土传病害的防治效果优于蔷薇科(lnRR = -1.65p< 0.01)和凤梨科(lnRR = -1.58p< 0.01)(图4C)。


图4土壤改良对土壤化学性质和土传病害发生的影响。土壤改良对土壤化学性质(A)、土壤pH(B)和土传病害(C)的影响。
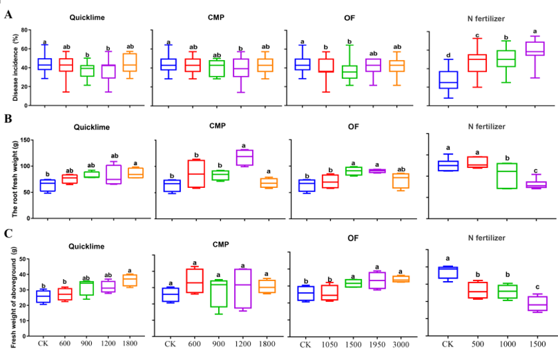
基于以上研究结果,我们采用生石灰、钙镁磷肥和有机肥改良林下酸性土壤调控三七土传病害的发生,并利用氮肥处理进行验证试验。结果表明,土壤改良措施能显著提高土壤pH、AN和OM含量,降低根腐病的发病率(图5A),增加三七的根鲜重(图5B)。相比之下,氮肥可以显著增加AN和OM的含量,但降低pH值,最终加剧根腐病的发生,降低三七的根鲜重(图5B和C)。该验证结果进一步说明氮肥的过量施用引起土壤酸化从而加剧土传病害的发生。

图5土壤改良对三七发病率(A)、根鲜重(B)和地上鲜重(C)的影响
采用结构方程模型进一步分析土壤改良对三七生长的影响,结果清楚地表明生石灰(r= 0.48p< 0.05)、钙镁磷肥(r= 0.61p< 0.05)和有机肥(r= 0.50p= 0.16)对植物生长有积极影响,但氮肥的不合理施用对植物生长有显著的负面影响(r= -1.00;p< 0.01)(图6A)。土壤改良后碱解氮的含量为180-350 mg kg-1,土壤pH值为5.90-6.16,三七根腐病的发病率碱解氮(图6B)呈显著负相关;相反,氮肥处理后,土壤中碱解氮的含量为350-500mg kg-1,三七根腐病的发病率与碱解氮呈显著正相关(图6C)。由此可知,氮肥不足和过度使用氮肥均不利于作物健康生长,采用适当的土壤改良剂改善土壤pH值高于5.90,土壤AN在180-350 mg kg-1范围内可有效保持三七的健康。

图6土壤改良对三七生长的影响。土壤改良对三七生长影响的结构方程模型(A),低氮水平(B)和高氮水平(C)下的土壤化学性质和三七生长的RDA。红线和绿线分别表示积极和消极的关系。箭头旁边的数字为标准化路径系数,表示关系的影响大小。*表示p<0.05时的显著性差异,**表示p<0.01时的显著性差异。
总结
现代高投入集约种植系统中,过量施用氮肥和酚类物质的积累会导致土壤pH值降低,从而加剧土传病害的发生。采用适当的土壤改良剂调节土壤pH值,可以有效改善土壤化学性质,从而控制土传病害。总的来说,本研究强调在控制土传病害时需要更多地关注土壤酸碱平衡。
近年来,随着经济社会发展,人们对健康服务的需求快速增长,中医药是我国独具特色的健康资源,也是潜力巨大的经济资源。但在其发展过程中,面临优质中药材资源短缺、资源利用率低、能源消耗高、废弃物质排放多等资源和环境问题。传统中药材以追求产量为目标,大量施用化肥的人工栽培模式容易造成土壤理化性质恶化,病害爆发,品质下降和连作障碍产生等问题(Liu et al., 2019; Wei et al., 2018; 2020)。因此,基于五加科植物不耐肥且抗病性弱的特点,更应该科学的施用肥料,确保土壤养分平衡,降低根腐病的危害。
关于本研究
本研究得到了云南省科技重大专项(202001BB050001、202102AE090042、202102AA310048-2),昆明市科技项目(2021JH002),云南省科技创新团队(202105AE160016)等项目资助。
DOI号:10.1016/j.agee.2022.108176
原文链接:https://doi.org/10.1016/j.agee.2022.108176